碧蓝航线国家队与欧根BOSS点肉度实战心得(3)
2022-11-12 来源:acgdir.com
因此,逸仙也到达了闪避率的最大值。
小海狸逸仙与锅炉逸仙我也做过测试,小海狸的35点机动对闪避率影响基本不大,和计算结果基本吻合。
所以,逸仙实际上要多受到的炮击伤害也为176点,占比生命值的6.325%(同样将维修工具每15s恢复1%考虑进去)。
修改后的实验结果如下:
宁海的肉度竟然只有1.06个欧根,逸仙只有0.78个欧根。
这就意味着,你游理论最肉已经不是国家队了,是吃齐柏林buff的欧根,肉度足足有1.18欧根! 醒醒,现在谁用齐柏林
那么,国家队到底削弱了多少呢?
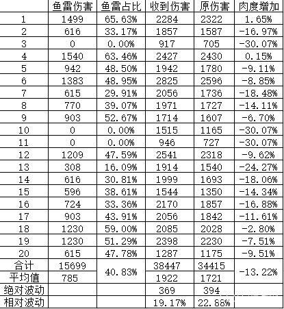
我慢放了宁海的20组录像,记录了每局录像中,宁海受到的鱼雷伤害。
结果如下:
所以逸仙带个鱼雷板也不错,不考虑8点航速的话,肉度大概可以从0.78欧根提高到0.9欧根。(至于8点航速有多重要,大家仁者见仁,智者见智吧
小海狸逸仙与锅炉逸仙我也做过测试,小海狸的35点机动对闪避率影响基本不大,和计算结果基本吻合。
所以,逸仙实际上要多受到的炮击伤害也为176点,占比生命值的6.325%(同样将维修工具每15s恢复1%考虑进去)。
修改后的实验结果如下:

宁海的肉度竟然只有1.06个欧根,逸仙只有0.78个欧根。
这就意味着,你游理论最肉已经不是国家队了,是吃齐柏林buff的欧根,肉度足足有1.18欧根! 醒醒,现在谁用齐柏林
那么,国家队到底削弱了多少呢?
我慢放了宁海的20组录像,记录了每局录像中,宁海受到的鱼雷伤害。
结果如下:

所以逸仙带个鱼雷板也不错,不考虑8点航速的话,肉度大概可以从0.78欧根提高到0.9欧根。(至于8点航速有多重要,大家仁者见仁,智者见智吧
火影忍者AV肉片在线网站